Skip to main content
Logo image

Section 1.13 Object-Oriented Programming in Python: Defining Classes

We stated earlier that Python is an object-oriented programming language. So far, we have used a number of built-in classes to show examples of data and control structures. One of the most powerful features in an object-oriented programming language is the ability to allow a programmer (problem solver) to create new classes that model data that is needed to solve the problem.
Remember that we use abstract data types to provide the logical description of what a data object looks like (its state) and what it can do (its methods). By building a class that implements an abstract data type, a programmer can take advantage of the abstraction process and at the same time provide the details necessary to actually use the abstraction in a program. Whenever we want to implement an abstract data type, we will do so with a new class.

Subsection 1.13.1 A Fraction Class

A very common example to show the details of implementing a user-defined class is to construct a class to implement the abstract data type Fraction. We have already seen that Python provides a number of numeric classes for our use. There are times, however, that it would be most appropriate to be able to create data objects that look like fractions to the user.
A fraction such as \(\frac{3}{5}\) consists of two parts. The top value, known as the numerator, can be any integer. The bottom value, called the denominator, can be any integer greater than 0 (negative fractions have a negative numerator). Although it is possible to create a floating point approximation for any fraction, in this case we would like to represent the fraction as an exact value.
The operations for the Fraction type will allow a Fraction data object to behave like any other numeric value. We need to be able to add, subtract, multiply, and divide fractions. We also want to be able to show fractions using the standard “slash” form, for example 3/5. In addition, all fraction methods should return results in their lowest terms so that no matter what computation is performed, we always end up with the most common form.
In Python, we define a new class by providing a name and a set of method definitions that are syntactically similar to function definitions. For this example,
class Fraction:
   # the methods go here
provides the framework for us to define the methods. The first method that all classes should provide is the constructor. The constructor defines the way in which data objects are created. To create a Fraction object, we will need to provide two pieces of data, the numerator and the denominator. In Python, the constructor method is always called __init__ (two underscores before and after init), as shown in Listing 1.13.1.
Listing 1.13.1.
class Fraction:
  """Class Fraction"""
  def __init__(self, top, bottom):
    """Constructor definition"""
    self.num = top
    self.den = bottom
Notice that the formal parameter list contains three items (self, top, bottom). self is a special parameter that will always be used as a reference back to the object itself. It must always be the first formal parameter; however, it will never be given an actual parameter value upon invocation. As described earlier, fractions require two pieces of state data, the numerator and the denominator. The notation self.num in the constructor defines the Fraction object to have an internal data object called num as part of its state. Likewise, self.den creates the denominator. The values of the two formal parameters are initially assigned to the state, allowing the new Fraction object to know its starting value.
To create an instance of the Fraction class, we must invoke the constructor. This happens by using the name of the class and passing actual values for the necessary state (note that we never directly invoke __init__). For example,
my_fraction = Fraction(3, 5)
creates an object called my_fraction representing the fraction \(\frac {3}{5}\) (three-fifths). Figure 1.13.2 shows this object as it is now implemented.
Figure 1.13.2. Figure 5: An Instance of the Fraction Class
The next thing we need to do is implement the behavior that the abstract data type requires. To begin, consider what happens when we try to print a Fraction object.
>>> my_fraction = Fraction(3, 5)
>>> print(my_fraction)
<__main__.Fraction object at 0x103203eb8>
The Fraction object, my_fraction, does not know how to respond to this request to print. The print function requires that the object convert itself into a string so that the string can be written to the output. The only choice my_fraction has is to show the actual reference that is stored in the variable (the address itself). This is not what we want.
There are two ways we can solve this problem. One is to define a method called show that will allow the Fraction object to print itself as a string. We can implement this method as shown in Listing 1.13.3. If we create a Fraction object as before we can ask it to show itself (in other words, print itself in the proper format). Unfortunately, this does not work in general. In order to make printing work properly, we need to tell the Fraction class how to convert itself into a string. This is what the print function needs in order to do its job.
Listing 1.13.3.
def show(self):
print(f"{self.num}/{self.den}")
>>> my_fraction = Fraction(3, 5)
>>> my_fraction.show()
3/5
>>> print(my_fraction)
<__main__.Fraction object at 0x40bce9ac>
In Python, all classes have a set of standard methods that are provided but may not work properly. One of these, __str__, is the method to convert an object into a string. The default implementation for this method is to return the instance address string as we have already seen. What we need to do is provide a better implementation for this method. We will say that this implementation overrides the previous one, or that it redefines the method’s behavior.
To do this, we simply define a method with the name __str__ and give it a new implementation as shown in Listing 1.13.4. This definition does not need any other information except the special parameter self. In turn, the method will build a string representation by converting each piece of internal state data to a string and then placing a / character in between the strings using string concatenation. The resulting string will be returned any time a Fraction object is asked to convert itself to a string. Notice the various ways that this function is used.
Listing 1.13.4.
def __str__(self):
return f"{self.num}/{self.den}"
>>> my_fraction = Fraction(3, 5)
>>> print(my_fraction)
3/5
>>> print(f"I ate {my_fraction} of pizza")
I ate 3/5 of pizza
>>> my_fraction.__str__()
'3/5'
>>> str(my_fraction)
'3/5'
We can override many other methods for our new Fraction class. Some of the most important of these are the basic arithmetic operations. We would like to be able to create two Fraction objects and then add them together using the standard + notation. At this point, if we try to add two fractions, we get the following:
>>> f1 = Fraction(1, 4)
>>> f2 = Fraction(1, 2)
>>> f1 + f2
Traceback (most recent call last):
File "<stdin>", line 1, in <module>
TypeError: unsupported operand type(s) for +: 'Fraction' and 'Fraction'
If you look closely at the error, you see that the problem is that the + operator does not understand the Fraction operands. We can fix this by providing the Fraction class with a method that overrides the addition method. In Python, this method is called __add__ and it requires two parameters. The first, self, is always needed, and the second represents the other operand in the expression. For example,
f1.__add__(f2)
would ask the Fraction object f1 to add the Fraction object f2 to itself. This can be written in the standard notation, f1 + f2.
Two fractions must have the same denominator to be added. The easiest way to make sure they have the same denominator is to simply use the product of the two denominators as a common denominator so that \(\frac {a}{b} + \frac {c}{d} = \frac {ad}{bd} + \frac {cb}{bd} = \frac{ad+cb}{bd}\text{.}\) The implementation is shown in Listing 1.13.5. The addition function returns a new Fraction object with the numerator and denominator of the sum. We can use this method by writing a standard arithmetic expression involving fractions, assigning the result of the addition, and then printing our result.
Listing 1.13.5.
def __add__(self, other_fraction):
    new_num = self.num * other_fraction.den + \
    self.den * other_fraction.num
    new_den = self.den * other_fraction.den

    return Fraction(new_num, new_den)
>>> f1 = Fraction(1, 4)
>>> f2 = Fraction(1, 2)
>>> print(f1 + f2)
6/8
The addition method works as we desire, but one thing could be better. Note that \(6/8\) is the correct result (\(\frac {1}{4} + \frac {1}{2}\)) but that it is not in the “lowest terms” representation. The best representation would be \(3/4\text{.}\) In order to be sure that our results are always in the lowest terms, we need a helper function that knows how to reduce fractions. This function will need to look for the greatest common divisor, or GCD. We can then divide the numerator and the denominator by the GCD and the result will be reduced to lowest terms.
The best-known algorithm for finding the greatest common divisor is Euclid’s algorithm, which will be discussed in detail in Chapter 8. It states that the greatest common divisor of two integers \(m\) and \(n\) is \(n\) if \(n\) divides \(m\) evenly. However, if \(n\) does not divide \(m\) evenly, then the answer is the greatest common divisor of \(n\) and the remainder of \(m\) divided by \(n\text{.}\) We will simply provide an iterative implementation here (see Listing 1.13.6). Note that this implementation of the GCD algorithm works only when the denominator is positive. This is acceptable for our fraction class because we have said that a negative fraction will be represented by a negative numerator.
Listing 1.13.6.
Now we can use this function to help reduce any fraction. To put a fraction in lowest terms, we will divide the numerator and the denominator by their greatest common divisor. So, for the fraction \(6/8\text{,}\) the greatest common divisor is 2. Dividing the top and the bottom by 2 creates a new fraction, \(3/4\) (see Listing 1.13.7).
Listing 1.13.7.
def __add__(self, other_fraction):
    new_num = self.num * other_fraction.den + self.den * other_fraction.num
    new_den = self.den * other_fraction.den
    common = gcd(new_num, new_den)
    return Fraction(new_num // common, new_den // common)
Our Fraction object now has two very useful methods as depicted in Figure 1.13.8.
Figure 1.13.8. Figure 6: An Instance of the Fraction Class with Two Methods
>>> f1 = Fraction(1, 4)
>>> f2 = Fraction(1, 2)
>>> print(f1 + f2)
3/4
An additional group of methods that we need to include in our example Fraction class will allow two fractions to compare themselves to one another. Assume we have two Fraction objects, f1 and f2. f1==f2 will only be True if they are references to the same object. Two different objects with the same numerators and denominators would not be equal under this implementation. This is called shallow equality (see Figure 1.13.9).
Figure 1.13.9. Figure 7: Shallow Equality Versus Deep Equality
We can create deep equality–equality by the same value, not the same reference–by overriding the __eq__ method (see Figure 1.13.9). The __eq__ method is another standard method available in any class. The __eq__ method compares two objects and returns True if their values are the same, False otherwise.
In the Fraction class, we can implement the __eq__ method by again putting the two fractions in common terms and then comparing the numerators (see Listing 1.13.10). It is important to note that there are other relational operators that can be overridden. For example, the __le__ method provides the less than or equal functionality.
Listing 1.13.10.
def __eq__(self, other_fraction):
    first_num = self.num * other_fraction.den
    second_num = other_fraction.num * self.den

    return first_num == second_num
The complete Fraction class, up to this point, is shown in Listing 1.13.11. We leave the remaining arithmetic and relational methods as exercises.
Listing 1.13.11.

Exercises Self Check

To make sure you understand how operators are implemented in Python classes, and how to properly write methods, write some methods to implement *, /, and - . Also implement comparison operators > and <

Subsection 1.13.2 Inheritance: Logic Gates and Circuits

Our final section will introduce another important aspect of object-oriented programming. Inheritance is the ability of one class to be related to another class in much the same way that people can be related to one another. Children inherit characteristics from their parents. Similarly, Python child classes can inherit characteristic data and behavior from a parent class. These classes are often referred to as subclasses and superclasses.
Figure 1.13.12 shows the built-in Python collections and their relationships to one another. We call a relationship structure such as this an inheritance hierarchy. For example, the list is a child of the sequential collection. In this case, we call the list the child and the sequence the parent (or subclass list and superclass sequence). This is often referred to as an Is-a relationship (the list Is-a sequential collection). This implies that lists inherit important characteristics from sequences, namely the ordering of the underlying data and operations such as concatenation, repetition, and indexing.
Figure 1.13.12. Figure 8: An Inheritance Hierarchy for Python Collections
Lists, tuples, and strings are all examples of sequential collections. They all inherit common data organization and operations. However, each of them is distinct based on whether the data is homogeneous and whether the collection is immutable. The children all gain from their parents but distinguish themselves by adding additional characteristics.
By organizing classes in this hierarchical fashion, object-oriented programming languages allow previously written code to be extended to meet the needs of a new situation. In addition, by organizing data in this hierarchical manner, we can better understand the relationships that exist. We can be more efficient in building our abstract representations.
To explore this idea further, we will construct a simulation, an application to simulate digital circuits. The basic building block for this simulation will be the logic gate. These electronic switches represent Boolean algebra relationships between their input and their output. In general, gates have a single output line. The value of the output is dependent on the values given on the input lines.
AND gates have two input lines, each of which can be either 0 or 1 (representing False or True, respectively). If both of the input lines have the value 1, the resulting output is 1. However, if either or both of the input lines is 0, the result is 0. OR gates also have two input lines and produce a 1 if one or both of the input values is a 1. In the case where both input lines are 0, the result is 0.
NOT gates differ from the other two gates in that they have only a single input line. The output value is simply the opposite of the input value. If 0 appears on the input, 1 is produced on the output. Similarly, 1 produces 0. Figure 1.13.13 shows how each of these gates is typically represented. Each gate also has a truth table of values showing the input-to-output mapping that is performed by the gate.
Figure 1.13.13. Figure 9: Three Types of Logic Gates
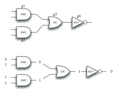
By combining these gates in various patterns and then applying a set of input values, we can build circuits that have logical functions. Figure 1.13.14 shows a circuit consisting of two AND gates, one OR gate, and a single NOT gate. The output lines from the two AND gates feed directly into the OR gate, and the resulting output from the OR gate is given to the NOT gate. If we apply a set of input values to the four input lines (two for each AND gate), the values are processed and a result appears at the output of the NOT gate. Figure 1.13.14 also shows an example with values.
Figure 1.13.14. Figure 10: A Circuit
In order to implement a circuit, we will first build a representation for logic gates. Logic gates are easily organized into a class inheritance hierarchy as shown in Figure 1.13.15. At the top of the hierarchy, the LogicGate class represents the most general characteristics of logic gates: namely, a label for the gate and an output line. The next level of subclasses breaks the logic gates into two families, those that have one input line and those that have two. Below that, the specific logic functions of each appear.
Figure 1.13.15. Figure 11: An Inheritance Hierarchy for Logic Gates
We can now start to implement the classes by starting with the most general, LogicGate. As noted earlier, each gate has a label for identification and a single output line. In addition, we need methods to allow a user of a gate to ask the gate for its label.
The other behavior that every logic gate needs is the ability to know its output value. This will require that the gate perform the appropriate logic based on the current input. In order to produce output, the gate needs to know specifically what that logic is. This means calling a method to perform the logic computation. The complete class is shown in Listing 1.13.16.
Listing 1.13.16.
class LogicGate:
    def __init__(self, lbl):
        self.label = lbl
        self.output = None

    def get_label(self):
        return self.label

    def get_output(self):
        self.output = self.perform_gate_logic()
        return self.output
At this point, we will not implement the perform_gate_logic function. The reason for this is that we do not know how each gate will perform its own logic operation. Those details will be included by each individual gate that is added to the hierarchy. This is a very powerful idea in object-oriented programming. We are writing a method that will use code that does not exist yet. The parameter self is a reference to the actual gate object invoking the method. Any new logic gate that gets added to the hierarchy will simply need to implement the perform_gate_logic function and it will be used at the appropriate time. Once done, the gate can provide its output value. This ability to extend a hierarchy that currently exists and provide the specific functions that the hierarchy needs to use the new class is extremely important for reusing existing code.
We categorized the logic gates based on the number of input lines, as shown in Figure 1.13.15: the AND gate and OR gate both have two input lines, whereas the NOT gate has only one. LogicGate has two subclasses: BinaryGate, which will add two input lines, and UnaryGate, which will have only a single input line. In computer circuit design, these lines are sometimes called pins, so we will use that terminology in our implementation.
Listing 1.13.16 and Listing 1.13.16 implement these two classes. The constructors in both of these classes start with an explicit call to the constructor of the parent class using the parent’s __init__ method. When creating an instance of the BinaryGate class, we first want to initialize any data items that are inherited from LogicGate. In this case, that means the label for the gate. The constructor then goes on to add the two input lines (pin_a and pin_b). This is a very common pattern that you should always use when building class hierarchies. Child class constructors need to call parent class constructors and then move on to their own distinguishing data.
Listing 1.13.17.
class BinaryGate(LogicGate):
    def __init__(self, lbl):
        LogicGate.__init__(self, lbl)
        self.pin_a = None
        self.pin_b = None

    def get_pin_a(self):
        return int(input(f"Enter pin A input for gate \
        {self.get_label()}: "))

    def get_pin_b(self):
        return int(input(f"Enter pin B input for gate \
        {self.get_label()}: "))
Listing 1.13.18.
class UnaryGate(LogicGate):
    def __init__(self, lbl):
        LogicGate.__init__(self, lbl)
        self.pin = None

    def get_pin(self):
        return int(input(f"Enter pin input for gate \
        {self.get_label()}: "))
Python also has a function called super which can be used in place of explicitly naming the parent class. This is a more general mechanism and is widely used, especially when a class has more than one parent. In our example above, LogicGate.__init__(self, lbl) could be replaced with super().__init__(lbl), super(UnaryGate, self).__init__(lbl), or super().__init__("UnaryGate", lbl). The specific details are beyond the scope of this text.
The only behavior that the BinaryGate class adds is the ability to get the values from the two input lines. Since these values come from some external place, we will simply ask the user to provide them via an input statement. The same implementation occurs for the UnaryGate class except that there is only one input line.
Now that we have a general class for gates depending on the number of input lines, we can build specific gates that have unique behavior. For example, the AndGate class will be a subclass of BinaryGate since AND gates have two input lines. As before, the first line of the constructor calls upon the parent class constructor (BinaryGate), which in turn calls its parent class constructor (LogicGate). Note that the AndGate class does not provide any new data since it inherits two input lines, one output line, and a label.
The only thing AndGate needs to add is the specific behavior that performs the Boolean operation that was described earlier. This is the place where we can provide the perform_gate_logic method. For an AND gate, this method first must get the two input values and then only return 1 if both input values are 1. The complete class is shown in Listing 1.13.19.
Listing 1.13.19.
class AndGate(BinaryGate):
    def __init__(self, lbl):
        super().__init__(lbl)

    def perform_gate_logic(self):
        a = self.get_pin_a()
        b = self.get_pin_b()
        if a == 1 and b == 1:
            return 1
        else:
            return 0
We can show the AndGate class in action by creating an instance and asking it to compute its output. The following session shows an AndGate object, g1, that has an internal label "G1". When we invoke the get_output method, the object must first call its perform_gate_logic method which in turn queries the two input lines. Once the values are provided, the correct output is shown.
>>> g1 = AndGate("G1")
>>> g1.get_output()
Enter pin A input for gate G1: 1
Enter pin B input for gate G1: 0
0
The same development can be done for OR gates and NOT gates. The OrGate class will also be a subclass of BinaryGate and the NotGate class will extend the UnaryGate class. Both of these classes will need to provide their own perform_gate_logic functions, as this is their specific behavior.
We can use a single gate by first constructing an instance of one of the gate classes and then asking the gate for its output (which will in turn need inputs to be provided). For example:
>>> g2 = OrGate("G2")
>>> g2.get_output()
Enter pin A input for gate G2: 1
Enter pin B input for gate G2: 1
1
>>> g2.get_output()
Enter pin A input for gate G2: 0
Enter pin B input for gate G2: 0
0
>>> g3 = NotGate("G3")
>>> g3.get_output()
Enter pin input for gate G3: 0
1
Now that we have the basic gates working, we can turn our attention to building circuits. In order to create a circuit, we need to connect gates together, the output of one flowing into the input of another. To do this, we will implement a new class called Connector.
The Connector class will not reside in the gate hierarchy. It will, however, use the gate hierarchy in that each connector will have two gates, one on either end (see Figure 1.13.20). This relationship is very important in object-oriented programming. It is called the Has-a relationship. Recall earlier that we used the phrase Is-a relationship to say that a child class is related to a parent class, for example UnaryGate Is-a LogicGate.
Figure 1.13.20. Figure 12: A Connector Connects the Output of One Gate to the Input of Another
Now, with the Connector class, we say that a Connector Has-a LogicGate, meaning that connectors will have instances of the LogicGate class within them but are not part of the hierarchy. When designing classes, it is very important to distinguish between those that have the Is-a relationship (which requires inheritance) and those that have Has-a relationships (with no inheritance).
Listing 1.13.21 shows the Connector class. The two gate instances within each connector object will be referred to as the from_gate and the to_gate, recognizing that data values will flow from the output of one gate into an input line of the next. The call to set_next_pin is very important for making connections (see Listing 1.13.22). We need to add this method to our gate classes so that each to_gate can choose the proper input line for the connection.
Listing 1.13.21.
class Connector:
    def __init__(self, fgate, tgate):
        self.from_gate = fgate
        self.to_gate = tgate

        tgate.set_next_pin(self)

    def get_from(self):
        return self.from_gate

    def get_to(self):
        return self.to_gate
Listing 1.13.22.
def set_next_pin(self, source):
    if self.pin_a == None:
        self.pin_a = source
    else:
        if self.pin_b == None:
            self.pin_b = source
        else:
            raise RuntimeError("Error: NO EMPTY PINS")
In the BinaryGate class, for gates with two possible input lines, the connector must be connected to only one line. If both of them are available, we will choose pin_a by default. If pin_a is already connected, then we will choose pin_b. It is not possible to connect to a gate with no available input lines.
Now it is possible to get input from two places: externally, as before, and from the output of a gate that is connected to that input line. This requires a change to the get_pin_a and get_pin_b methods (see Listing 1.13.23). If the input line is not connected to anything (None), then ask the user externally as before. However, if there is a connection, the connection is accessed and from_gate’s output value is retrieved. This in turn causes that gate to process its logic. This continues until all input is available and the final output value becomes the required input for the gate in question. In a sense, the circuit works backwards to find the input necessary to finally produce output.
Listing 1.13.23.
def get_pin_a(self):
    if self.pin_a == None:
        return input(
            f"Enter pin A input for gate \
            {self.get_label()}: "
        )
    else:
        return self.pin_a.get_from().get_output()
The following fragment constructs the circuit shown earlier in the section:
>>> g1 = AndGate("G1")
>>> g2 = AndGate("G2")
>>> g3 = OrGate("G3")
>>> g4 = NotGate("G4")
>>> c1 = Connector(g1, g3)
>>> c2 = Connector(g2, g3)
>>> c3 = Connector(g3, g4)
The outputs from the two AND gates (g1 and g2) are connected to the OR gate (g3) and that output is connected to the NOT gate (g4). The output from the NOT gate is the output of the entire circuit. For example:
>>> g4.get_output()
Enter pin A input for gate G1: 0
Enter pin B input for gate G1: 1
Enter pin A input for gate G2: 1
Enter pin B input for gate G2: 1
0
Try it yourself using ActiveCode 4.

Exercises Self Check

Create a two new gate classes, one called NorGate the other called NandGate. NandGates work like AndGates that have a Not attached to the output. NorGates work lake OrGates that have a Not attached to the output.
Create a series of gates that prove the following equality NOT (( A and B) or (C and D)) is that same as NOT( A and B ) and NOT (C and D). Make sure to use some of your new gates in the simulation.
You have attempted of activities on this page.